今天是:

首页

通知公告

当前位置: 首页 >> 通知公告 >> 正文

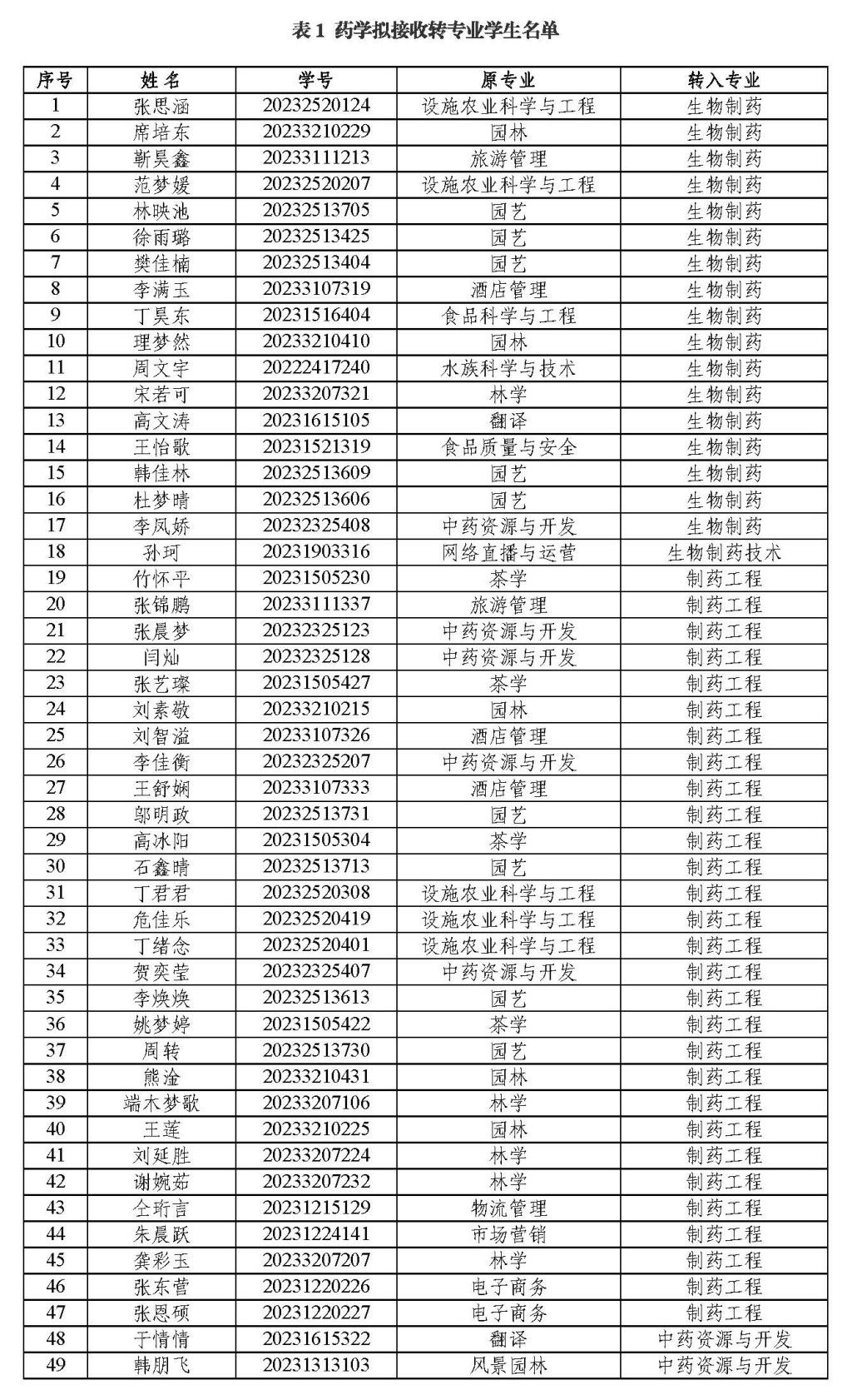
药学院拟接收2023级转专业学生名单公示

发布日期:2023-12-08    作者:药学院     来源:     点击:

根据《beat365在线平台官网学生转专业管理规定》(信农教〔2019〕14号)、《beat365在线平台官网2023级学生转专业工作方案》要求,按照《药学院2023级学生转专业工作方案》规定,对提出申请转入的49位学生(含2022级学生1人)按照程序进行了考核,经党政联席会议研究决定,拟接收49位学生转入相关专业(见表1),现予以公示。

    公示期:2023年12月8日-12月12日

    监督电话:0376-6510175

联系人:刘柱明

                                                                                                          药学院

                                                                                                          2023年12月8日